近日,复旦大学公共卫生学院陈仁杰教授课题组与首都医科大学附属北京朝阳医院内分泌科张秀娟副主任医师团队合作,开展了一项全国性病例交叉研究。该研究系统评估了气候变暖背景下,高温暴露对我国不同糖尿病亚型及并发症死亡风险的影响。研究成果以“Heat-related mortality burden of type 1 diabetes, type 2 diabetes, and diabetes complications in mainland China amid global warming: a nationwide, case-crossover study”为题发表于《The Lancet Planetary Health》。
在全球变暖的背景下,极端高温事件日趋频繁。糖尿病患者由于体温调节功能受损和脱水风险增加,被认为是高温环境下的极端脆弱人群。尽管既往研究提示高温可能增加糖尿病死亡风险,但多将其视为单一疾病,未对不同糖尿病亚型及其并发症进行区分。目前,尚不清楚不同糖尿病亚型及并发症对高温的敏感性是否存在差异。
因此,本研究基于我国居民死亡登记数据库,提取2013年至2019年暖季(6–9月)全国2844个区县近30万例首要死因为糖尿病的个案数据,采用时间分层病例交叉设计,借助分布滞后非线性模型,系统评估了高温短期暴露对总糖尿病、不同糖尿病亚型(1型糖尿病、2型糖尿病)及主要并发症(包括糖尿病性酮症酸中毒、糖尿病肾病、糖尿病昏迷及糖尿病周围血管病变)死亡率的影响。气象数据来自ERA5再分析资料,并精准匹配到个体居住地址。
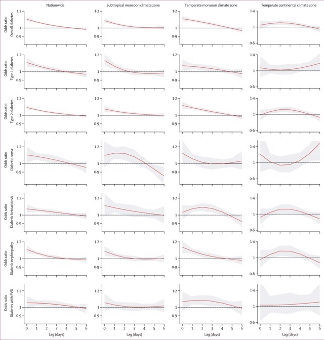
研究显示,日均气温与糖尿病死亡的关联总体呈“J”型。最低死亡温度介于15.0°C至25.0°C之间,且随纬度升高而递减。极端高温(第97.5百分位数)对糖尿病死亡的影响通常在暴露当日至滞后第2天达到高峰,并可持续至滞后第2至4天(图1)。

图1 极端高温(97.5百分位)对糖尿病死亡影响的时间滞后模式
如表1所示,相较于最低死亡温度,极端高温(第97.5百分位数)在0–6天滞后期内可导致全国总糖尿病死亡风险增加25%。该风险呈现显著的地理异质性,即寒冷的温带大陆性气候区效应最强,而相对温暖的亚热带和温带季风区则较低。糖尿病亚型的高温敏感性亦存在地域分化。在较温暖地区,2型糖尿病患者面临的死亡风险更高;而在寒冷地区,1型糖尿病患者更为脆弱。此外,不同并发症对高温的响应模式也存在明显的地理差异:亚热带季风区以糖尿病酮症酸中毒和肾病风险最高;温带季风区主要表现为外周血管病变和肾病;温带大陆性地区则以糖尿病昏迷最为敏感。这些结果提示,高温对糖尿病患者健康的影响呈现出显著的地域、亚型及并发症异质性。
表1 极端高温(97.5百分位)相对于最低死亡温度对糖尿病死亡率的累积效应(滞后0–6天)

本研究首次系统揭示了高温对我国不同糖尿病亚型及并发症死亡风险的异质性影响。在气候较暖地区,2型糖尿病、酮症酸中毒及肾病对高温更为敏感;而在较冷地区,1型糖尿病、外周血管病变和糖尿病昏迷的风险则更为突出。这些发现共同表明,气候变化对糖尿病患者的健康威胁并非均质分布,传统“一刀切”的公共卫生应对模式已难以满足精准防护的需求,未来需要推动防控策略向地域差异化、临床精细化的方向转型,针对不同气候区的高风险人群实施有针对性的干预。
复旦大学公共卫生学院博士后骆会欢与中国疾病预防控制中心营养与健康所助理研究员於坛春为该论文共同第一作者。复旦大学公共卫生学院陈仁杰教授与首都医科大学附属北京朝阳医院内分泌科张秀娟副主任医师为共同通讯作者。该研究获教育部人文社会科学研究基金、国家自然科学基金及上海市“基础研究特区计划”等项目资助。
文章链接:https://authors.elsevier.com/sd/article/S2542-5196(25)00262-1
原文引用:Huihuan Luo, Tanchun Yu, Ya Gao, Yixiang Zhu, Lu Zhou, Anni Li, Peng Yin, Haidong Kan, Maigeng Zhou, Xiujuan Zhang, Renjie Chen, Heat-related mortality burden of type 1 diabetes, type 2 diabetes, and diabetes complications in mainland China amid global warming: a nationwide, case-crossover study, The Lancet Planetary Health, 2025, 101384, ISSN 2542-5196, https://doi.org/10.1016/j.lanplh.2025.101384.